(a) gender: categorical (binary)
political identification: categorical
penny question: categorical (binary)
value of statistics: measurement
number of states: measurement
number of countries: measurement
Europe?: categorical (binary)
WDW?: categorical (binary)
letters per word: measurement
(b) categorical
(c) measurement
(a) - (d) These answers depend on class results.
|
Rating |
1 |
2 |
3 |
4 |
5 |
6 |
7 |
8 |
9 |
|
Tally (count) |
These answers depend on class results. |
||||||||
|
Percent |
|||||||||
(b)
|
Specialty |
Percentage Women |
|
Specialty |
Percentage Women |
|
Aerospace medicine |
5.93% |
|
Nuclear medicine |
15.74% |
|
Allergy & immunology |
16.04% |
|
Obstetrics/gynecology |
25.61% |
|
Anesthesiology |
18.37% |
|
Occupational medicine |
11.55% |
|
Cardiovascular disease |
5.55% |
|
Opthamology |
10.60% |
|
Child psychiatry |
35.45% |
|
Orthopedic surgery |
2.49% |
|
Colon/rectal surgery |
3.34% |
|
Otolaryngology |
5.86% |
|
Dermatology |
24.09% |
|
Pathology-anat./clin. |
24.44% |
|
Diagnostic radiology |
16.80% |
|
Pediatric cardiology |
20.29% |
|
Emergency medicine |
15.25% |
|
Pediatrics |
41.01% |
|
Family practice |
19.05% |
|
Physical med./rehab. |
30.10% |
|
Forensic pathology |
23.17% |
|
Plastic surgery |
7.12% |
|
Gastroenterology |
6.39% |
|
Psychiatry |
24.80% |
|
General practice |
11.24% |
|
Public health |
24.14% |
|
General preventive medicine |
25.43% |
|
Pulmonary diseases |
8.84% |
|
General surgery |
7.22% |
|
Radiation oncology |
18.79% |
|
Internal medicine |
21.79% |
|
Radiology |
9.99% |
|
Neurological surgery |
3.24% |
|
Thoracic surgery |
1.42% |
|
Neurology |
16.75% |
|
Urological surgery |
1.71% |
(c) Three highest: pediatrics, child psychiatry. and physical med./rehab.
Three lowest: thoracic surgery, urological surgery, and orthopedic surgery
(a) - (d) These answers depend on class results.
![]()
2-2: Gender of Physicians (cont.)
(a)
![]()
(b) (Asks for interpretation)
(a)
(b) The number of points played will be an integer. Furthermore, after 6 points, the total must be an even integer since the player must win by two points (tie plus two more points).

3-1: Hypothetical Exam Scores
(a) The centers of these distributions vary.
(b) The spreads of these distributions vary.
(c) The shapes of these distributions vary.
(d) This distribution has two distinctive clusters.
(e) This distribution has two outliers- one very low score and one very high.
(f) This distribution reveals granularity in that scores occur only in multiples of five.
(a) 63; Victoria
(b) 0; Edward V; he ruled for some short period less than a year
(c)
0 | 9 0 2 6 5 3 6 7 9 1
1 | 3 9 0 7 3 3 2 3 0 5
2 | 1 0 2 2 4 2 4 5 5
3 | 5 5 5 9 8 3
4 | 4
5 | 6 0 9
6 | 3
(d)
0 | 0 1 2 3 5 6 6 7 9 9
1 | 0 0 2 3 3 3 3 5 7 9
2 | 0 1 2 2 2 4 4 5 5
3 | 3 5 5 5 8 9
4 | 4
5 | 0 6 9
6 | 3
(e) f
(f) 19.5
(g) 9.5
(h) 34
3-3: Pennsylvania College Tuitions
(a) 16
(b) 16; .1019
(c) skewed to the right
(d) There are roughly three clusters or peaks, perhaps corresponding to public institutions and two classes of private ones.
3-4: British Rulers' Reigns (cont.)
(b)

(c)


(d) (Asks for interpretation).
Activity 3-5: Students' Measurements
These answers depend on class results.

(a)
![]()
(b) Many reasonable answers are acceptable.
(c) 103/9 (approx. 11.44)
(d) more: 3; less: 6
(e) 6
(f) more: 4; less: 4
(g) the fifth
(h) n=5: the third
n=7: the fourth
n=9: the fifth
n=11: the sixth
n=13: the seventh
(i) the ((n+1)/2)th
(a) 1 3 6 6 7 15 28 31
(b) 12.125
(c) 6
(d) There are an even number of observations, so none falls right in the middle.
(e) 6.5
(f) mean=12.13; median=6.50
(a) (Asks for prediction)
(b)
|
Class A |
Class B |
Class C |
|
|
Mean |
80.55 |
69.38 |
60.26 |
|
Median |
81 |
70 |
61 |
(c) - (e) (Asks for prediction)
(f)
|
Class G |
Class H |
Class I |
|
|
Mean |
49.77 |
50.61 |
51.20 |
|
Median |
49 |
49 |
53 |
(g) The mean and median are close together for symmetric distributions. The mean exceeds the median for distributions skewed to the right, and the mean is less than the median for distributions skewed to the left.
(h) - (i) see table below
(j)
|
Mean |
Median |
|
|
Justices |
11.44 |
9 |
|
Justices with "big outlier |
13.67 |
9 |
|
Justices with "huge" outlier |
33.67 |
9 |
(k) The median is resistant.
(l) no
(m) No, it does not make sense to talk about the mean or median gender. The mode of the genders is sensible, for it is the more frequent gender.
4-4: Readability of Cancer Pamphlets
(a) We do not know the actual reading levels of the 6 patients in the "under 3" category and the 17 patients in the "above 12" category..
(b) 9
(c) 9
(d) The medians are the same.
(e) no
(f) 17/63
4-5: Students' Distances from Home
(a) - (e) These answers depend on class results.
(f) no

5-1: Supreme Court Service ( cont. )
(a)
![]()
(b) mean = 11.44; median = 9
(c) 22
(d) 3 4 6 7; lower quartile = 5
(e) 11 16 22 25; upper quartile = 19
(f) IQR = 14
(g)
|
Original Data |
Deviation from mean |
Squared deviation |
|
|
|
25 |
13.56 |
183.87 |
|
|
22 |
10.56 |
111.51 |
|
|
16 |
4.56 |
20.79 |
|
|
11 |
-0.44 |
0.19 |
|
|
9 |
-2.44 |
5.95 |
|
|
7 |
-4.44 |
19.71 |
|
|
6 |
-5.44 |
29.59 |
|
|
4 |
-7.44 |
55.35 |
|
|
3 |
-8.44 |
71.23 |
|
Column sum |
103 |
.04 |
498.19 |
(h) 7.89
(i)

(g) Should look similar.
5-2: Properties of Measures of Spread
(a) (Asks for prediction)
(b)
|
Class D |
Class E |
Class F |
|
|
Std. dev. |
2.837 |
7.018 |
11.78 |
|
IQR |
3 |
9 |
13.75 |
(c) - (d) see table below
(e)
|
Std. dev. |
IQR |
|
|
Justices |
7.89 |
14 |
|
Justices with "big" oultier |
13.21 |
14 |
|
Justices with "huge" outlier |
72.0 |
14 |
(f) The interquartile range is resistant. The standard deviation and range are not resistant.
(a) yes
(b) (6.362, 14.080)
(c) 146; 0.685
(d) 202; 0.948
(e) 213; 1.000
(a) 184
(b) 7.4
(c) no
(d) 1.057
(e) 1.423
(f) Kathy
(g) (Asks for interpretation)
(h) Mike: -0.897; Karen: -0.308
(i) Karen
(j) The z-score turns out to be negative when the raw score is less than the mean score.

(a)
|
State |
% change |
Region |
|
State |
% change |
Region |
|
Alabama |
3.6 |
E |
|
Montana |
5.1 |
W |
|
Alaska |
8.9 |
W |
|
Nebraska |
1.8 |
W |
|
Arizona |
7.4 |
W |
|
Nevada |
15.6 |
W |
|
Arkansas |
3.1 |
W |
|
New Hampshire |
1.4 |
E |
|
California |
3.7 |
W |
|
New Jersey |
1.9 |
E |
|
Colorado |
8.2 |
W |
|
New Mexico |
6.7 |
W |
|
Connecticut |
-0.3 |
E |
|
New York |
1.1 |
E |
|
Delaware |
5.1 |
E |
|
North Carolina |
4.8 |
E |
|
Florida |
5.7 |
E |
|
North Dakota |
-0.6 |
W |
|
Georgia |
6.8 |
E |
|
Ohio |
2.3 |
E |
|
Hawaii |
5.7 |
W |
|
Oklahoma |
2.7 |
W |
|
Idaho |
9.2 |
W |
|
Oregon |
6.7 |
W |
|
Illinois |
2.3 |
E |
|
Pennsylvania |
1.4 |
E |
|
Indiana |
3.0 |
E |
|
Rhode Island |
-0.3 |
E |
|
Iowa |
9.2 |
W |
|
South Carolina |
4.5 |
E |
|
Kansas |
2.1 |
W |
|
South Dakota |
2.8 |
W |
|
Kentucky |
2.8 |
E |
|
Tennessee |
4.5 |
E |
|
Louisiana |
1.9 |
W |
|
Texas |
6.2 |
W |
|
Maine |
0.9 |
E |
|
Utah |
7.9 |
W |
|
Maryland |
3.8 |
E |
|
Vermont |
2.3 |
E |
|
Massachusetts |
-0.1 |
E |
|
Virginia |
4.9 |
E |
|
Michigan |
2.0 |
E |
|
Washington |
8.0 |
W |
|
Minnesota |
3.3 |
W |
|
West Virginia |
1.5 |
E |
|
Mississippi |
2.7 |
E |
|
Wisconsin |
3.0 |
E |
|
Missouri |
2.3 |
W |
|
Wyoming |
3.7 |
W |
(b)

(c) East: 2.5; West: 4.4
(d) This answer varies from student to student.
(e) The West tends to have a higher percentage change.
(f) No; there are many possible pairings.
(g) The West.
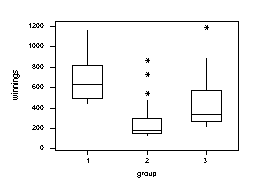
6-2: Professional Golfers' Winnings
(a)
|
Tour |
Minimum |
Lower quartile |
Median |
Upper quartile |
Maximum |
|
PGA |
435 |
809 |
658 |
495 |
1165 |
|
LPGA |
122 |
301 |
186 |
149 |
863 |
|
Senior |
208 |
568 |
340 |
265 |
1190 |
(b)
|
|
|
|
|
|
(c) no
(d) PGA: no outliers
LPGA: three outliers: 863, 732, 543
(e)
|
|
|
|
|
|
(f) Should match
(g)

(h) yes
(i) (Asks for interpretation)
(a) - (d) These answers depend on the class results.
